ISSN 0253-2778

CN 34-1054/N

open

TiO2-assisted GaN-nanowire-based stable ultraviolet photoelectrochemical detection

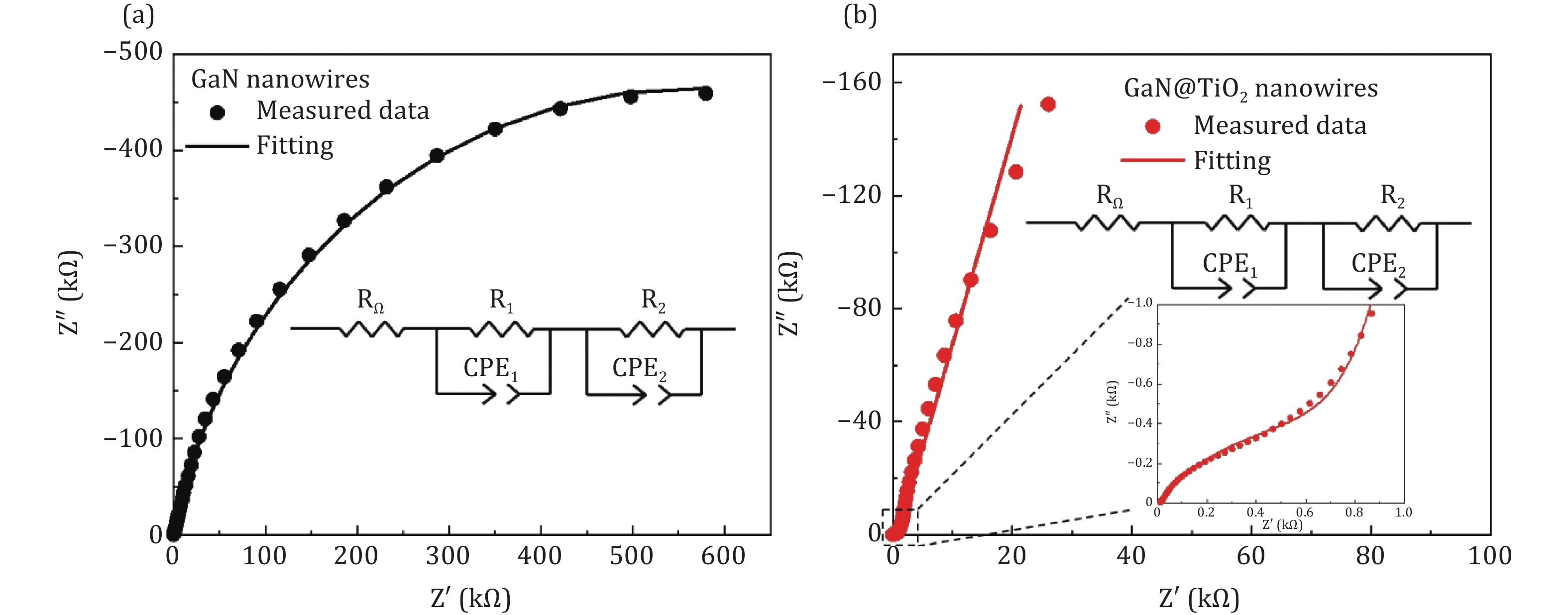
  • Ultraviolet photodetection plays an important role in optical communication and chemical- and bio- related sensing applications. Gallium nitride (GaN) nanowires-based photoelectrochemical-type photodetectors, which operate particularly in acqueous conditions, have been attracted extensive interest because of their low cost, fast photoresponse, and excellent responsivity. However, GaN nanowires, which have a large surface-to-volume ratio, suffer suffered from instability in photoelectrochemical environments because of photocorrosion. In this study, the structural and photoelectrochemical properties of GaN nanowires with improved photoresponse and chemical stability obtained by coating the nanowire surface with an ultrathin TiO2 protective layer were investigated. The photocurrent density of TiO2-coated GaN nanowires changed minimally over a relatively long operation time of 2000 s under 365-nm illumination. Meanwhile, the attenuation coefficient of the photocurrent density could be reduced to 49%, whereas it is as high as 85% in uncoated GaN nanowires. Furthermore, the photoelectrochemical behavior of the nanowires was investigated through electrochemical impedance spectroscopy measurements. The results shed light on the construction of long-term-stable GaN-nanowire-based photoelectrochemical-type photodetectors.
  • loading

Catalog

    {{if article.pdfAccess}}
    {{if article.articleBusiness.pdfLink && article.articleBusiness.pdfLink != ''}} {{else}} {{/if}}PDF
    {{/if}}
    XML

    /

    DownLoad:  Full-Size Img  PowerPoint
    Return
    Return